
EN ISO 13849-1:2023 Allegati C e D - Calcolo MTTFD
ID 23434 | 10.02.2025 / Documenti di approfondimento in allegato
Documento di approfondimento sulle modalità di calcolo e valutazione dei valori dell’MTTFD (“Mean Time To Dangerous Failure”, Tempo medio al guasto pericoloso).
In accordo alla norma tecnica EN ISO 13849-1:2023 per ogni SRP/CS (parte di un sistema di comando legata alla sicurezza) selezionata e/o combinazione di SRP/CS che svolgono una funzione di sicurezza, si deve stimare il PL (Perfomance Level).
Nell’edizione EN ISO 13849-1:2023 nell’Allegato C è stato aggiunto in particolare il capitolo C.4.3 “Spiegazione delle formule” mentre nell'Allegato D non sono state apportate modifiche rilevanti.
Il PL della SRP/CS deve essere determinato stimando gli aspetti seguenti:
- il valore MTTFD dei singoli componenti;
- la DC;
- il CCF;
- la struttura;
- il comportamento della funzione di sicurezza in condizione(i) di avaria;
- il software legato alla sicurezza;
- il guasto sistematico;
- la capacità di eseguire una funzione di sicurezza nelle condizioni ambientali previste.
Gli allegati C e D della EN ISO 13849-1:2023 forniscono diversi metodi di calcolo e valutazione dei valori di MTTFD per i singoli componenti e di ogni canale.
Il valore del MTTFD di ogni canale è indicato in tre livelli e se ne deve tenere conto per ogni canale (per esempio canale singolo, ogni canale di un sistema ridondante) singolarmente.

Tabella 1 - Tempo medio al guasto pericoloso di ogni canale (MTTFD)
Per la stima del MTTFD di un componente, il procedimento gerarchico per trovare i dati deve essere, nell’ordine indicato:
a) utilizzo dei dati del fabbricante;
b) utilizzo dei metodi dell’appendice C e dell’appendice D;
c) scelta di 10 anni.

Figura 1 - Rapporto tra categorie, DCavg, MTTFD di ogni canale e PL
Norma armonizzata Direttiva 2006/42/CE "macchine"
Con la Decisione di esecuzione (UE) 2024/1329 della Commissione, del 13 maggio 2024 (GU L 2024/1329 del 15.5.2024) è entrata in regime di armonizzazione la:
- EN ISO 13849-1:2023 Sicurezza del macchinario - parti dei sistemi di comando legate alla sicurezza - parte 1: Principi generali per la progettazione (ISO 13849-1:2023)
La norma EN ISO 13849-1:2015 Sicurezza del macchinario - Parti dei sistemi di comando legate alla sicurezza - Parte 1: Principi generali per la progettazione (ISO 13849-1:2015) è soppressa a decorrere dal 15 maggio 2027.
Dopo la pubblicazione da ISO della ISO 13849-1:2023 il 26 Aprile 2023, UNI ha adottato la norma fondamentale per la sicurezza di parti dei sistemi di comando legati alla sicurezza SRP/CS in data 31.08.2023 come UNI EN ISO 13849-1:2023.
[...]
Annex C | Calculating or evaluating MTTFD values for single components
C.1 General
This annex gives several methods for calculating or evaluating MTTFD values for single components: the method given in C.2 is based on the application of good engineering practices for the different kinds of components; that given in C.3 is applicable to hydraulic components; C.4 provides a means of calculating the MTTFD of pneumatic, mechanical and electromechanical components from B10 (see C.4.1); C.5 lists MTTFD values for electrical components.
C.2 Good engineering practices method
If the following criteria are met, the MTTFD or B10D value for a component can be estimated according to Table C.1.
a) The components are manufactured according to basic and well-tried safety principles in accordance with ISO 13849-2:2012 and the relevant standard (see Table C.1) for the design of the component.
NOTE This information can be found in the data sheet of the component manufacturer.
b) The manufacturer of the component specifies the appropriate application and operating conditions for the SRP/CS designer.
c) The design of the SRP/CS fulfils the basic and well-tried safety principles according to ISO 13849-2:2012, for the implementation and operation of the component.
[...]
C.4.3 Explanation of the formulae
The reliability methods in this document assume that the failure of components is distributed exponentially over time: . For non-electronic components, a Weibull distribution is more likely, but if the operation time of the components is limited to the mean time until 10% of the components fail dangerously (T10D) then a constant dangerous failure rate (λD) over this operation time can be estimated as

[...]
C.5.2 Semiconductors
See Table C.2 and Table C.3.

Table C.2 - Transistors (used as switches)
[...]
Annex D | Simplified method for estimating MTTFD for each channel
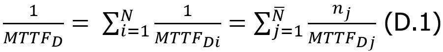
D.1 Parts count method
Use of the “parts count method” serves to estimate the MTTFD for each channel separately. The MTTFD values of all single components which are part of that channel are used in this calculation.
NOTE The parts count method is an approximation which always errs on the safe side.
The general Formula (D.1) is:

where:
MTTFD is the mean time to dangerous failure for the complete channel;
MTTFDi, MTTFDj is the MTTFD of each component which has a contribution to the sub-function; The first sum is over each component separately; the second sum is an equivalent, simplified form where all nj identical components with the same MTTFDj are grouped together.
The example given in Table D.1 gives a MTTFD of the channel of 22,4 years, which is “medium” according to 6.1.4, Table 6.

Table D.1 - Example of the parts list of a circuit board
[...] segue in allegato
Fonti
EN ISO 13849-1:2023
Certifico Srl - IT | Rev. 0.0 2025
©Copia autorizzata Abbonati
Matrice Revisioni:
| Rev. |
Data |
Oggetto |
Autore |
| 0.0 |
10.02.2025 |
-- |
Certifico Srl |
Collegati
Allegati
|
Descrizione |
Lingua |
Dimensioni |
Downloads |
|
|
IT/EN |
402 kB |
78 |
|
|
IT/EN |
302 kB |
62 |