
Valutazione del rischio biologico / Algoritmo valutazione esposizione agenti biologici
ID 17634 | 27.09.2022 / Documento completo in allegato
Il Titolo X del D.Lgs. 81/08 e ss.mm.ii. richiede di effettuare la valutazione in tutte le attività lavorative nelle quali si possono presentare le seguenti condizioni di rischio:
- Rischio Biologico Generico, potenzialmente presente in tutti gli ambienti di lavoro;
- Rischio Biologico Specifico, proprio della mansione svolta e classificato in:
-- deliberato: nel caso in cui una determinata attività preveda l’uso intenzionale di agenti biologici (AB);
-- potenziale: derivante da un’esposizione non intenzionale, bensì potenziale ed accidentale ad AB presenti nell’ambiente di lavoro.
Per agente biologico si intende qualsiasi microrganismo (parte di esso o suo prodotto) anche geneticamente modificato, coltura cellulare parassita (protozoi e metazoi) o organismo superiore che può provocare infezioni, allergie e intossicazioni. Gli stessi sono classificati nei seguenti quattro gruppi a seconda del rischio di infezione:
- agente biologico del gruppo 1: un agente che presenta poche probabilità di causare malattie in soggetti umani;
- agente biologico del gruppo 2: un agente che può causare malattie in soggetti umani e costituire un rischio per i lavoratori; è poco probabile che si propaga nella comunità; sono di norma disponibili efficaci misure profilattiche o terapeutiche;
- agente biologico del gruppo 3: un agente che può causare malattie gravi in soggetti umani e costituisce un serio rischio per i lavoratori; l’agente biologico può propagarsi nella comunità, ma di norma sono disponibili efficaci misure profilattiche o terapeutiche;
- agente biologico del gruppo 4: un agente biologico che può provocare malattie gravi in soggetti umani e costituisce un serio rischio per i lavoratori e può presentare un elevato rischio di propagazione nella comunità; non sono disponibili, di norma, efficaci misure profilattiche o terapeutiche.
Dal punto di vista dell'esposizione professionale è necessario distinguere le operazioni dove gli agenti biologici sono presenti in quanto parte essenziale del processo (agente biologico atteso), dalle operazioni ove gli agenti biologici costituiscono un evento "inaspettato" (agente biologico inatteso).
Il modello di valutazione adottato, anche se rivolto principalmente alle attività caratterizzate da rischio biologico da esposizione potenziale, ha nell'intento quello di consentire una valutazione universalmente applicabile, di semplice utilizzo e in grado di aiutare a focalizzare l’attenzione sugli elementi importanti caratterizzanti il rischio biologico e a mettere in atto di conseguenza le necessarie azioni preventive. La metodologia adottata è concettualmente basata sul metodo "a matrice" ampiamente utilizzato per una valutazione semi-quantitativa dei rischi occupazionali.
La valutazione del rischio [R] è in generale effettuata tenendo conto dell'entità dell'evento dannoso [D] e della probabilità di accadimento dello stesso [P]. Dalla relazione [P] x [D] scaturisce un valore [R] che esprime il livello di rischio presente in quell'attività stante le condizioni che hanno portato a determinare [P] e [D].
Tra i metodi presenti in letteratura che consentono di determinare il livello di rischio biologico specifico vi è l’algoritmo elaborato dall’ISPRA e pubblicato con il Manuale e Linee Guida ISPRA n. 93/2013: “Criteri ed indirizzi per la tutela della salute e sicurezza in tema di valutazione del Rischio Biologico nelle attività istituzionali delle Agenzie per la Prevenzione dell’Ambiente” (Istituto superiore per la protezione e la ricerca ambientale, 2013).
D.Lgs. 81/08
Art. 271- Valutazione del rischio
1. Il datore di lavoro, nella valutazione del rischio di cui all'articolo 17, comma 1, tiene conto di tutte le informazioni disponibili relative alle caratteristiche dell'agente biologico e delle modalità lavorative, ed in particolare:
a) della classificazione degli agenti biologici che presentano o possono presentare un pericolo per la salute umana quale risultante dall'allegato XLVI o, in assenza, di quella effettuata dal datore di lavoro stesso sulla base delle conoscenze disponibili e seguendo i criteri di cui all'articolo 268, commi 1 e 2;
b) dell'informazione sulle malattie che possono essere contratte;
c) dei potenziali effetti allergici e tossici;
d) della conoscenza di una patologia della quale è affetto un lavoratore, che è da porre in correlazione diretta all'attività lavorativa svolta;
e) delle eventuali ulteriori situazioni rese note dall'autorità sanitaria competente che possono influire sul rischio;
f) del sinergismo dei diversi gruppi di agenti biologici utilizzati.
2. Il datore di lavoro applica i principi di buona prassi microbiologica, ed adotta, in relazione ai rischi accertati, le misure protettive e preventive di cui al presente titolo, adattandole alle particolarità delle situazioni lavorative.
3. Il datore di lavoro effettua nuovamente la valutazione di cui al comma 1 in occasione di modifiche dell'attività lavorativa significative ai fini della sicurezza e della salute sul lavoro e, in ogni caso, trascorsi tre anni dall'ultima valutazione effettuata.
4. Nelle attività, quali quelle riportate a titolo esemplificativo nell'allegato XLIV, che, pur non comportando la deliberata intenzione di operare con agenti biologici, possono implicare il rischio di esposizioni dei lavoratori agli stessi, il datore di lavoro può prescindere dall'applicazione delle disposizioni di cui agli articoli 273, 274, commi 1 e 2, 275, comma 3, e 279, qualora i risultati della valutazione dimostrano che l'attuazione di tali misure non è necessaria.
5. Il documento di cui all'articolo 17 è integrato dai seguenti dati:
a) le fasi del procedimento lavorativo che comportano il rischio di esposizione ad agenti biologici;
b) il numero dei lavoratori addetti alle fasi di cui alla lettera a);
c) le generalità del responsabile del servizio di prevenzione e protezione dai rischi;
d) i metodi e le procedure lavorative adottate, nonché le misure preventive e protettive applicate;
e) il programma di emergenza per la protezione dei lavoratori contro i rischi di esposizione ad un agente biologico del gruppo 3 o del gruppo 4, nel caso di un difetto nel contenimento fisico.
6. Il rappresentante per la sicurezza è consultato prima dell'effettuazione della valutazione di cui al comma 1 ed ha accesso anche ai dati di cui al comma 5.
_______
Interpelli (0)
Interpello n. 14/2013 del 24/10/2013 - Limiti di utilizzo delle procedure standardizzate
Algoritmo per la valutazione del rischio biologico
Manuale e Linee Guida ISPRA n. 93/2013: “Criteri ed indirizzi per la tutela della salute e sicurezza in tema di valutazione del Rischio Biologico nelle attività istituzionali delle Agenzie per la Prevenzione dell’Ambiente”
L’algoritmo per la valutazione del rischio biologico
L’algoritmo è stato concepito riferendosi al metodo “a matrice”, ampiamente utilizzato in igiene industriale per la valutazione semi quantitativa dei rischi occupazionali.
Nella matrice, per il calcolo del rischio sono inseriti due elementi:
P = la probabilità d’accadimento di un evento dannoso.
D = il danno conseguente all’evento, qualora accada.
Dalla relazione P x D scaturisce un valore R che esprime il livello di rischio presente in quell’attività stante le condizioni che hanno portato a determinare P e D.
Per la valutazione del rischio biologico gli elementi P e D sono calcolati come di seguito illustrato.
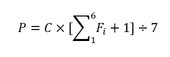
Il fattore probabilità P è determinato dalla seguente formula,

dove:
C: indica la contaminazione presuntiva delle sostanze utilizzate (rischio intrinseco).
F: è il coefficiente derivante dall’analisi delle modalità operative, delle caratteristiche ambientali e della formazione degli operatori.
Il fattore danno D invece ha una diretta relazione con la classificazione di pericolosità degli AB, secondo l’allegato XLVI del D.Lgs. 81/08.
D è dato dal gruppo di pericolosità degli AB.
Di seguito si illustra la valutazione del rischio biologico proprio degli operatori delle Agenzie di Protezione Ambientale desunta dal
Manuale e Linee Guida ISPRA n. 93/2013: “Criteri ed indirizzi per la tutela della salute e sicurezza in tema di valutazione del Rischio Biologico nelle attività istituzionali delle Agenzie per la Prevenzione dell’Ambiente”
Danno (D)
Questo elemento importante della matrice del rischio indispensabile per risolvere l’algoritmo è individuato riferendosi al gruppo d’appartenenza secondo la classificazione dell’allegato XLVI dell’Agente Biologico utilizzato o potenzialmente presente.
Nei casi in cui l’operatore è esposto contemporaneamente a più AB, il valore del danno deve essere individuato considerando il gruppo d’appartenenza dell’AB potenzialmente presente/utilizzato, classificato con maggiore pericolosità.
Ad esempio per alcuni operatori l’esposizione ad AB è una conseguenza delle attività in cui gli AB sono:
- ricercati; utilizzati come ceppi di riferimento;
- eventualmente presenti nei campioni;
- presenti o veicolati dall’ambiente esterno.
Nella tabella 1.1. sono evidenziate le diverse sorgenti di pericolo.
Tabella 1.1 Le sorgenti di pericolo

Uso deliberato di AB
I pericoli, durante quest’attività, sono rappresentati dai ceppi microbici di riferimento e dagli AB oggetto dei saggi analitici di microbiologia. I saggi analitici prevedono la selezione mediante l’isolamento microbiologico, l’accrescimento e l’identificazione tramite le reazioni metaboliche e/o la caratterizzazione sierologia di alcuni di loro.
La valutazione del rischio biologico inizia con la compilazione della tabella 1.2, dove devono essere inscritti gli agenti che sono utilizzati in “maniera deliberata” nei laboratori oggetto della stima.
Danno in caso d’uso deliberato di microrganismi

Esposizione potenziale
Il valore che è attribuito a D in caso di esposizione potenziale dipende essenzialmente dalla pericolosità degli AB (quantificabile attraverso il gruppo d’appartenenza) che potrebbero contaminare i campioni.
Per stabilire quale valore di D potrebbe essere più appropriato per i vari processi lavorativi svolti nelle Agenzie, le tipologie di sostanze con cui gli operatori possono venire a contatto sono state organizzate in macrogruppi, caratterizzati ognuno da una certa omogeneità per la capacità potenziale di esporre gli operatori alla contaminazione.
In fase di VDR devono essere individuate le categorie, chiamate matrici cui i lavoratori possono venire in contatto; un esempio delle quali è riportato in tabella 1.3.
Tabella 1.3 Tipologia di campioni e raggruppamento per “matrici”

Per ciascuna categoria è stata eseguita un’approfondita ricerca bibliografica che ha portato ad individuare i microrganismi patogeni che potrebbero essere veicolati da ciascuna di esse insieme al riconoscimento della via di trasmissione attraverso la quale gli AB possono essere trasferiti al soggetto recettivo. Da tale ricerca sono stati individuati più di 200 AB con caratteristiche di patogenicità per l’individuo; di questi almeno una quarantina è trasmissibile per via aerea, tramite gli aerosol che si possono produrre durante l’attività.
Lo studio evidenzia inoltre come la gran quantità di dati che possono essere raccolti, quando si utilizzano queste matrici, siano difficili da impiegare e gestire per valutare il rischio biologico.
Inoltre, dopo una più approfondita considerazione sulla tipologia e sulle modalità d’esecuzione delle attività lavorative, oggetto della valutazione, si constata oggettivamente che sono anche poco utili ai fini della conoscenza della reale situazione a rischio.
Per quanto sopra risulta più utile e pratico tenere in evidenza ai fini della VDR solo il dato relativo al gruppo d’appartenenza degli agenti potenzialmente presenti di ciascuna macrocategoria; un esempio di risultati ottenuti dalla valutazione del danno potenziale in riferimento alle matrici sono schematizzati nella tabella 1.4.
Tabella 1.4 Danno in caso d’esposizione potenziale a microrganismi

In talune matrici possono teoricamente essere contenuti anche agenti del gruppo 4: in questi casi è indicato il numero 4 tra parentesi poiché si tratta di AB che scientificamente è possibile trovare tali matrici e quindi diventa doveroso considerare questa eventualità, ma bisogna pure tenere conto che questa evenienza, è estremamente remota. Sarà cura del valutatore, in considerazione della tipologia di campioni e della loro provenienza, considerare l’opportunità di inserire nell’algoritmo il valore di danno più opportuno, secondo le matrici manipolate nel processo di cui si vuole valutare il rischio biologico.
Quando, all’interno delle matrici, sono individuati più AB appartenenti a differenti gruppi di pericolosità, di norma, si deve inserire nell’algoritmo il valore più elevato a titolo cautelativo. È da tener presente, tuttavia, a questo proposito che i microrganismi appartenenti al gruppo 2 sono molto più numerosi e diffusi nell’ambiente rispetto a quelli di gruppo 3 e ancora di più rispetto a quelli di gruppo 4, quindi è ancora demandato al valutatore che applica il metodo inserire il valore più opportuno a seconda del caso.
[...]
C: Grado di contaminazione presuntiva delle sostanze utilizzate.
Pur non essendo note le caratteristiche microbiologiche quali-quantitive delle sostanze processate, l’esperienza e la letteratura a riguardo aiutano a classificare, seppure indicativamente, le matrici in base ad una contaminazione presuntiva.
La classificazione proposta si basa su 4 gradi di contaminazione, come illustrato in tabella 1.5, che concettualmente riprendono quelli che potrebbero essere i valori di carica batterica totale delle matrici.
Tabella 1.5 Classificazione della contaminazione presuntiva

Durante l’uso deliberato
Nelle attività lavorative degli operatori delle Agenzie condotte nei laboratori analitici di microbiologia, i terreni di coltura solidi o liquidi seminati contenenti gli AB (prevalentemente batteri e miceti) costituiscono l’origine del rischio biologico per gli operatori addetti alle attività microbiologiche.
Operando con questi sistemi di coltura è evidente che la contaminazione delle sostanze con cui si opera (i terreni di coltura, appunto) non è più presuntiva ma certa, e anche di grado elevato, in quanto una colonia batterica è costituita al 100% da batteri; il grado di contaminazione da attribuire per questa tipologia di attività è massimo (C=4).
Esposizione potenziale
Il giudizio sulla contaminazione presuntiva delle matrici è desunto dai valori espressi nella tabella 1.5.
In conformità con questa classificazione diviene possibile assegnare a ciascuna matrice un valore del Grado di contaminazione delle sostanze utilizzate “C”, come illustrato in tabella 1.6.
Tabella 1.6 Grado di contaminazione presuntiva delle sostanze utilizzate (C) - esposizione potenziale

Coefficienti Fi: quantità e frequenza delle manipolazioni dei campioni, caratteristiche ambientali procedure adottate (buone pratiche), utilizzo di DPI, formazione
I coefficienti, indicati con la lettera F e con un numero identificativo da 1 a 6, individuano le caratteristiche che condizionano il rischio biologico; ad ognuno di loro è assegnato un valore numerico:
- 0 = la caratteristica è adeguata alla corretta gestione del Rischio Biologico,
- 1 = la caratteristica non è adeguata alla corretta gestione del Rischio Biologico,
- 0,5 = la caratteristica è giudicata parzialmente adeguata alla corretta gestione del Rischio Biologico. La valutazione dell’adeguatezza è effettuata con i criteri specificati nelle tabelle seguenti, che sono state differenziate per processo.
[...]
Matrice dei rischi
Il modello di matrice matematica utilizzato è quello con 4 valori di Probabilità e 4 di Danno. In considerazione delle peculiarità proprie del rischio biologico di fatto in molte situazioni con esposizione ad AB le probabilità di contaminazione sono davvero basse. Per risolvere al meglio la valutazione del rischio nei casi con bassissima probabilità di contaminazione, nella scala delle probabilità, il valore “1” è stato suddiviso in due livelli: 0,5 (probabilità estremamente bassa) e 1 (probabilità molto bassa).
Graficamente il modello si visualizza come riportato in figura 1

L’assegnazione di un valore di P (probabilità) di 0.5, invece che 1, determina una valutazione del rischio in una categoria inferiore.
Al termine della valutazione è possibile esprimere un giudizio sul valore del rischio biologico secondo la scala evidenziata in Tabella 1.13.
Tabella 1.13 Misure di Prevenzione e Protezione in relazione all’entità del rischio

Per quanto riguarda le misure di prevenzione e protezione da attuare si può far riferimento al seguente elenco:
Norme igieniche generali
- Misure tecniche organizzative e procedurali di cui all’art. 272 del D.Lgs. 81/08
- Buona igiene personale, lavaggio delle mani dopo aver starnutito o tossito o pulito il naso, aver usato il bagno
- Ventilazione adeguata degli spazi chiusi.
- Utilizzo salviette monouso.
- Utilizzo appositi contenitori per le salviette usate.
- Formazione e informazione
Misure specifiche di prevenzione e protezione
- Misure specifiche per i laboratori con uso deliberato (del livello di contenimento adeguato)
- Servizi sanitari per il personale dotati di docce con acqua calda e fredda
- Lavaggi oculari
- Rubinetti con pedale o fotocellula elettrica
- Disinfezione periodica delle superfici di lavoro
- Tempestivo allontanamento dei rifiuti, in particolare materiale organico
- Utilizzo di DPI correttamente mantenuti (per quanto riguarda pulizia e controllo di funzionalità)
- Indumenti protettivi riposti separatamente dagli abiti civili
- Utilizzo preferibile di materiale usa e getta
- Divieto di mangiare bere fumare nelle aree di lavoro
- Formazione e informazione
- Sorveglianza sanitaria
Misure igieniche specifiche urgenti
Quando la valutazione del rischio individua un livello di rischio biologico “alto le misure specifiche, individuate in precedenza, devono essere attuate nel più breve tempo possibile.
[...]
Esempio valutazione rischio biologico
- Esposizione ad agenti biologici per l'attività di "Pulizia e disinfezione dei servizi igienici"
Mansioni: Addetto all'attività di "Pulizia e disinfezione dei servizi igienici".
Il rischio da esposizione di agenti biologici è derivato dall'ambiente di lavoro in cui l'addetto opera.

- Esposizione ad aerosol provenienti da lavandini e docce

[...] Segue in allegato
Certifico Srl - IT | Rev. 0.0 2022
©Copia autorizzata Abbonati
Collegati
Allegati
|
Descrizione |
Lingua |
Dimensioni |
Downloads |
|
Abbonati Sicurezza Lavoro
|
IT |
751 kB |
954 |